我校食品院张美莉教授课题组在Nature旗下期刊NPJ Sci Food发表新成果
添加时间:2025-12-23 来源: 编辑:王彩霞 浏览次数:
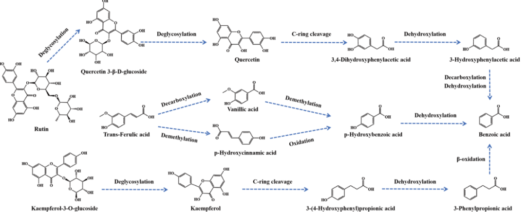
近日,食品科学与工程学院张美莉教授课题组在Nature旗下NPJ系列子刊《npj Science of Food》(中科院一区Top)发表题为“Metabolomics analysis of antioxidant and lipid-lowering activities,colonic fermentation properties of quinoa bran polyphenol extract during in vitro digestion(揭示藜麦麸皮多酚消化发酵特性,抗氧化降脂机制获代谢组学解析)”的研究成果,2022级博士研究生孙敏君为论文第一作者,张美莉教授为通讯作者。该项研究工作得到了国家重点研发计划(2023YFD1600704)的资助。
近日,食品科学与工程学院张美莉教授课题组在Nature旗下NPJ系列子刊《npj Science of Food》(中科院一区Top)发表题为“Metabolomics analysis of antioxidant and lipid-lowering activities,colonic fermentation properties of quinoa bran polyphenol extract during in vitro digestion(揭示藜麦麸皮多酚消化发酵特性,抗氧化降脂机制获代谢组学解析)”的研究成果,2022级博士研究生孙敏君为论文第一作者,张美莉教授为通讯作者。该项研究工作得到了国家重点研发计划(2023YFD1600704)的资助。

